Co
więcej, sytuacja się komplikuje kiedy wewnątrz interwału
następuje odwrócenie pozycji. Należy zauważyć, że informacja o
kursach High i Low nie oddaje ich chronologii. Zatem w przypadku np.
sytuacji odwrócenia pozycji z długiej na krótką, nie wiemy „a
priori” czy np. niebezpiecznie niski kurs Low miał miejsce przed
odwróceniem, czy już po – w tym drugim przypadku właściwie nie
jest niebezpieczny.
Ponieważ
naszym celem jest jak najszybsze i sprawne ustalenie sensownego
sposobu wyznaczania rzeczonych obsunięć, proponuję do sprawy
podejść pragmatycznie i w myśl zasady minimax przyjąć
najbardziej niekorzystną dla gracza sytuację. A zaletą tego
heurystycznego podejścia jest to, że powinno definitywnie uwolnić
nas od problemu zerowego MDD.
Dla
ustalenia uwagi i uproszczenia zapisu przyjmijmy, że wejściowy
zbiór danych to zyski w poszczególnych interwałach i odpowiednie
pozycje na ich zakończeniach:
Dodatkowo
mamy rekordy OHLC numerowane w analogiczny sposób. Istotnie nowym
elementem jest wielkość, która wyznacza maksymalne zniesienie w
niekorzystną stronę dla gracza w obrębie n-tego interwału
czasowego:
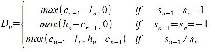
Pierwsze
dwa przypadki są bardzo proste i dotyczą sytuacji, kiedy pozycja
pozostaje niezmieniona zatem zniesienia dotyczą zawsze jednego z
ekstremów, zgodnie z tym, co napisałem kilka akapitów wyżej.
Operacja maksimum została wprowadzona ze względu na to, że pozycja
jest rozliczana względem poprzedniego kursu Close, a ten teoretycznie może leżeć
poza przedziałem wyznaczanym przez bieżące Low i High. Sytuacja
taka może mieć miejsce zwłaszcza w przypadku kontraktów opartych
na indeksy akcyjne przy znacznych lukach dobowych. Ostatni przypadek
natomiast dotyczy odwrócenia pozycji i tutaj właśnie przyjmujemy
większe z dwóch hipotetycznych zniesień. Warto zauważyć, że
zawsze co najmniej jedno z nich będzie liczbą nieujemną.
A
dalej, aby przenieść to na wynik całościowy, proponuję kolejną
wielkość, która mierzy realne obsunięcie do interwału t
włącznie:
Jak
widać, do interwału poprzedzającego bieżący włącznie jest
liczona zwykła różnica pomiędzy maksimum skumulowanego zysku a
jego chwilową wartością. Dopiero w kolejnym czyli bieżącym jest
uwzględniane wewnątrzinterwałowe zniesienie. Jest tak, ponieważ
wcześniejsze fluktuacje pomiędzy kursami Low i High, o ile nie
doprowadziły do MC, mogą „pójść w zapomnienie” a punktem
odniesienia jest skumulowany kapitał na zakończeniu przedostatniego
interwału. Ostatnim elementem obliczeń jest formuła na maksymalne
obsunięcie, już w prosty sposób wyrażana przez poprzednią
wielkość:
To
też powinno wyjaśniać, dlaczego wyżej pisałem o „zapomnieniu”
w cudzysłowie: lokalne zniesienia, jeśli powiększają chwilowe
wartości obsunięcia, znajdą też odwzorowanie w ich maksimum.
Mamy
zatem propozycję zmodyfikowanej metody liczenia MDD, która – o
ile formuły zostały poprawnie zapisane – powinna mieć tę
własność, że będzie zawsze zwracać wartości dodatnie,
niezerowe. Jedyną hipotetyczną sytuacją, w której mogłoby się
pojawić MDD=0 jest występowanie ciągów rekordów, w których
Open=High=Low=Close i to równe tej samej liczbie dla kolejnych
interwałów. A to jest sytuacja niewiarygodna i łatwa do wykrywania
na poziomie samego sprawdzania integralności zbioru danych
wejściowych do badań empirycznych.
Zatem
po krótkim czasie, niezbędnym na przetrawienie i implementację
zaproponowanego rozwiązania, powrócimy do głównego nurtu, czyli
dalszych prac nad optymalizacją systemu o hierarchicznej
konstrukcji.




Brak komentarzy:
Prześlij komentarz